Drawing an irrational number
Personatges:
Tema: Irrational numbers (rational and irrational numbers)
Competències
Competència Matemàtica, en ciència, tecnologia i enginyeria
Competència personal, social i aprendre a aprendre
Competència en consciència i expressions culturals
Matèries i cursos per Sistema Educatiu
Espanya > Matemàtiques > 4t(A) ESO > Sentit numèric
Espanya > Matemàtiques > 4t(A) ESO > Sentit socioafectiu
Espanya > Matemàtiques > 4t(B) ESO > Sentit numèric
Espanya > Matemàtiques > 4t(B) ESO > Sentit socioafectiu
Enunciat
The golden number might have been the first irrational number known to the Greeks. When the Pythagoreans discovered that irrational numbers existed, i.e. that they could not be written as the quotient of two whole numbers, they were dismayed, as this fact broke many of their philosophical theories. That is why they decided to keep this discovery a secret.
Theano of Crotone, a Pythagorean mathematician, was the first woman to carry out these divisions, confirming thus the existence of irrational numbers. As a good Pythagorean, she believed and defended that all material objects were composed of natural numbers, so that the measure of anything could be expressed with an exact measure. However, she was also the first to posit the existence of the golden ratio as the essence of the universe.
The golden number, or golden ratio, is represented with the Greek letter Φ (Phi), honouring Phidias.
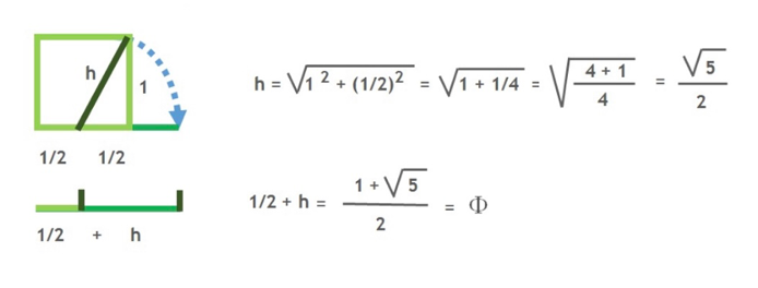
She drew the distance of Phi on the number line from the construction below:
Demonstrate the existence of the square root of two by drawing it on the number line.
Observacions i context
- Crotone was in Theano's time a colony of Magna Graecia.
- Enheduanna (25th century BC) was a predecessor of Theano of Crotone, considered the first recorded woman in the history of science and the first to sign her works, in cuneiform script .
- Some of Theano's contemporaries are other women in the Pythagorean school that were born around 500 BC, such as Damo, Myia and Arignote of Crotone, considered to be daughters of Theano and Pythagoras by several authors. Even though there is not much information about them, some other women belonging to this group were Babelica of Argos, Beo of Argos, Quilonis, Echecrates of Phlius, Ecellus and Ocellus Lucanus, Habrotelia of Tarento, Cleecma, Cratesiclea, Lastenia of Arcadia, Pisirroda of Tarento, Filtis, Teadusa, Timica and Tirsenis of Sibaris.
- After Theano we can mention Aglaonice, or Aganice of Thessaly, (3rd century BC, known for her ability to predict eclipses) and Hypatia (4th century AD).
Descripció
Representing irrational numbers in a number line through the Pythagoras theorem.
